氦质谱非真空积累检漏法中几个问题的研究
氦质谱非真空积累检漏法被广泛应用于航天器的总漏率测试中, 因此研究氦质谱非真空检漏法具有重要的工程实际意义。本文首次详细给出了氦质谱非真空积累检漏法计算公式的详细推导过程, 同时讨论了采用柔性收集室技术可能产生的一些问题。研究结果表明: 氦质谱非真空积累检漏法有着严格的理论依据; 柔性收集室的技术在理论上是可行的。本文的研究结论可以为氦质谱非真空积累检漏法的工程应用提供理论依据。
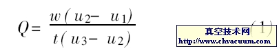
航天器的密封性能指标是衡量航天器质量高低的一个重要参数, 它直接地关系到航天器发射和在轨运行的成功与否, 微小的漏孔也可能造成巨大的损失。因此, 在总装过程中对航天器要进行严格的检漏测试[1] 。总装过程中的检漏测试主要包括单点检漏测试和总漏率测试。现阶段的总漏率测试主要采用氦质谱非真空积累检漏法, 因此, 研究氦质谱非真空积累检漏法具有重要的工程实际意义。该方法所采用的测试系统主要包括收集室、检漏仪、大气基准气体气源、示漏气体采样系统和漏率标定系统等。其基本工作原理如下: 通过充氦设备向被检航天器中充入He 气, 密封好后放入收集室中, 通过大气基准气体校准检漏仪, 测得航天器的漏率初值u1; 当航天器在收集室中放置累积一段时间t 后, 再次测试收集室中漏出的He 气的浓度, 得到航天器的漏率终值u2; 通过取样系统在收集室中放入标准气量w , 检漏仪的对应输出为u3, 则航天器的漏率Q为[2]

国外航天器已经成功应用该项技术四十余年,如欧洲空间局和欧洲空间中心、法国、意大利均采用相似的检漏方法, 并先后建立了多个由刚性非真空收集室组成的检漏系统, 本文不再累赘, 具体可见文献[3] 。
在国内, 氦质谱非真空积累检漏法主要由北京卫星制造厂的阎治平研究员建立和完善的。1994年, 阎治平[4] 初步介绍了该检漏方法的原理, 检漏灵敏度以及测试误差分析, 指出了应用该方法测试航天器总漏率的正确性和可行性, 为该种检漏方法在国内的传播奠定了基础; 1997 年, 阎治平[5- 6] 又详细论述了该检漏方法的原理、标定方法、检漏灵敏度及影响因素以及测试误差等, 进一步阐述了该方法的合理性。直至今日, 该检漏方法已成功完成了十几颗卫星、飞船的总漏率测试, 为保证航天器的密封性能做出了重要的贡献。2001 年, 闫荣鑫[7] 在此基础上又研制出非真空条件下的质谱分析多系统检漏法, 从而使得一次检漏可以完成多个检漏系统的检漏, 大大提高了检漏效率。
在以上阐述的氦质谱非真空积累检漏法的测试系统中, 都需要一个刚性的收集室, 但其存在着建设费用高, 建设周期长, 通用性差等缺点, 因此, 柔性收集室的研制则应运而生了。1966 年, J. L. Manganaro和D. L. Hollinger[8] 在美国加利福尼亚的喷气动力研究实验室对柔性收集室进行了试验性研究, 开创了柔性收集室研究的序幕。美国航天局NASA[3] 现已研制出一种柔性收集室检漏系统, 该系统中的收集室由刚性支架组成, 外面包裹一层镀铝薄膜, 并用胶带进行密封。该检漏系统于2002 年成功完成了Terra 号飞船发射前检漏工作。在国内, 北京卫星制造厂目前对柔性收集室已进行了一些试验性的研究, 并开发出了支架型 和悬挂型两种类型的柔性收集室[3] 。
纵观以上氦质谱非真空积累检漏法国内外的研究现状, 可见氦质谱非真空积累检漏法现已基本成熟, 但仍有一些基础性的问题值得讨论和完善。如国内外的资料都是直接给出计算式(1) , 尚没有资料给出式(1) 的详细推导过程; 由采用柔性收集室而带来的收集室的密封性、体积变化等因素对检漏测试结果的影响等问题, 尚没有一个定论。本文则尝试在这些基础性问题方面做一解释, 以期解释这些问题。

1、式(1) 的推导
1.1、逆流检漏仪的定量研究
检漏仪是氦质谱非真空积累检漏法测试系统中的核心设备, 因此有必要先对检漏仪进行定量的研究。现阶段所采用的检漏仪几乎都是逆流检漏仪,其一般原理图可见图2。

3、结论
本文详细给出了氦质谱非真空积累检漏法计算公式的详细推导过程, 同时讨论了采用柔性收集室技术可能产生的一些问题。研究结果表明: 氦质谱非真空积累检漏法是合理的; 柔性收集室的技术在理论上是完全可行的。
参考文献
  [1] 王勇, 黄锡宁, 孙立臣. 氦质谱检漏仪入口压力与显示值的关系研究[J] . 真空科学与技术学报, 2011, 31(1) : 32- 36
  [2] 氦质谱非真空积累检漏法[J] . Q/ W 915- 2001
  [3] 回天力. 非真空收集器氦质谱检漏技术在航天领域的应用研究[A] . 航天五院情报课题, 2009
  [4] 阎治平. 非真空He 检漏法[J] . 宇航材料工艺, 1994, (1)
  [5] 阎治平, 黄淑英. 非真空收集器质谱检漏的研究[J] . 真空科学与技术学报, 1997, (1)
  [6] 阎治平, 黄淑英. 非真空收集器质谱检漏技术[J] . 中国空间科学技术, 1997, (10)
  [7] 闫荣鑫, 刘 平, 冯 琪, 等. 质谱分析多系统航天器检漏研究[J] . 中国空间科学技术, 2001
  [8] Manganaro J L, Hollinger D L. Quantitative Leak Test DesignGuide[ J] . NASA, 1967
  [9] 程守洙, 江之永. 普通物理学[M] . 北京: 高等教育出版社, 2007













