真空蒸馏海水淡化的热力分析
随着船舶业的发展,船舶对淡水的需求就越来越大,从陆地上携带海水和靠海岛之类的补充海水是不现实的,所以迫切需要更好的技术来淡化海水。海水淡化常用的方法[1]有蒸馏法和膜分离法,还有冷冻法、水合物法、溶剂萃取法、离子交换法等。蒸馏法又分多级闪蒸(MSF)、多效蒸发(ME)、压汽蒸馏(VC)和太阳能蒸馏等。蒸馏式海水淡化技术对热源的要求比较低,在船舶上得到广泛的应用,但是由于系统本身较复杂,因此研究真空蒸馏式海水淡化的性能,是船舶海水淡化研究的一个重要方面。很多学者对其它的海水淡化过程都进行了热力计算[2~5],本文主要对真空蒸馏处理技术的原理和性能进行分析,并对真空蒸馏处理装置进行了模拟计算。
1、真空蒸馏式海水淡化技术的原理
真空蒸馏式海水淡化装置一般采用真空蒸馏的原理,即通过喷射泵以维持装置中90%~94%的真空度,此时对应的海水蒸发的沸点[6]仅46℃~36℃,以利用低温废热来进行海水淡化。该装置的热源为船舶主机的缸套的冷却水,属于废热回收利用。一般主机功率为6000 kW 左右的柴油机推动的船舶,每天就可以生产淡水15~18 m3。效率很高。船舶废热如:废热锅炉产生的多余的蒸汽,副机缸套水等都有大量的废热,所以船舶废热具有很广阔的开发前景。真空蒸馏处理淡化海水不越要附加其它热源,因此VDT 技术是船舶淡化海水的重要手段,具有节能,效率高等优点。
2、热力分析及模型的建立及模拟
真空蒸馏处理淡化海水的基本流程如图1所示。
海水经过预热器,在其中吸收淡水和喷射泵工作蒸汽所放出的热量,温度升高,供入海水淡化装置的冷凝器中作为冷凝海水蒸发所得到的蒸汽(二次蒸汽),温度得到进一步升高,一部分供入海水淡化装置的蒸发器中作为供水,另外一部分排出船舱外;供入蒸发器中的海水在蒸发器中受工作蒸汽(一次蒸汽)的加热,温度升高,达到饱和温度,开始蒸发,所得到蒸汽在装置中上升,经过分离器分离所带出的淡水,经过预热器将热量传给海水后,进入淡水箱中被储存;海水淡化置内未蒸发的海水浓度升高成为浓海水,排出船舱外。
2.1、模型的建立
海水淡化过程其实就是一个传热传质过程,根据质量守恒定律和能量守恒定律原理,建立如下的数学模型。
质量平衡方程为:
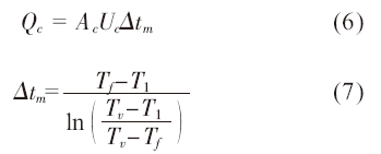
在这个装置中,能量平衡方程分为蒸发器能量平衡方程,冷凝器能量平衡方程和预热器能量平衡方程。
蒸发器能量平衡方程
式中:S 为海水中的含盐量(g/kg);Sb、Sf 为浓海水和海水浓度(1×10- 6);Qe 为蒸发器中换热量(kJ);Ae 为蒸发器换热面积(m2);Ue 为蒸发器换热系数(kJ/(m2·℃));mf,mb,md 分别为海水上水量、浓盐水排放量和产水量(kg/s)。
适用范围:20℃<T<180℃;20000×10- 6<Sb<160000×10- 6冷凝器能量平衡方程为:



















