气体微流量标准装置期间核查方法
气体微流量标准是校准气体微流量的一种装置,是真空计量的基础标准之一,用于参考漏孔及气体微流量计的校准。对气体微流量标准装置采用多台平均值法进行期间核查。
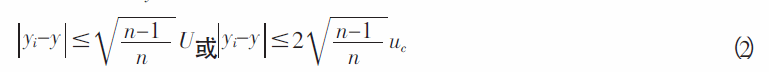
多台平均值法采用3 台或3 台以上同等水平的测量标准,对同一被测量或被测测量器具进行测量,多台测量结果的平均值yi 与核查的测量标准观测值y 之差的绝对值,应满足式(2)
式中yi 为多台测量标准校准结果的平均值;n 为测量标准的数量。
作者实验室已建立的气体微流量标准装置有恒压式气体微流量标准装置2 台,定容式气体微流量标准装置1 台,恒压/定容式气体微流量标准装置1台。
对其中1 台恒压式气体微流量标准装置进行期间核查,选用其他3 台流量计作为核查标准;传递标准选用中国计量院生产的薄膜渗氦型真空漏孔,其标称漏率值为1.34×10-8 Pa·m3/s。
在每台标准装置上对传递标准漏孔均校准6次,并计算出平均漏率值,温度为23℃。校准数据见表3。
表3 气体微流量标准装置漏率校准值
表3 中,3 台核查标准的漏率值分别为1.33×10-8 Pa·m3/s 、1.39×10-8 Pa·m3/s 和1.34×10-8 Pa·m3/s,平均值为1.35×10-8 Pa·m3/s,被核查标准的漏值为1.28×10-8 Pa·m3/s,根据式(2)计算二者的偏差为5.2%。恒压式气体微流量标准装置的扩展不确定为10%,代入式(2)得8.2%。
二者的偏差5.2%,小于8.2%,则恒压式气体微流量标准装置技术状态正常。
相关文章阅读:

















