低真空阶段变抽速时抽气时间的计算
大多数真空泵的抽速都随其入口压强的变化而变化,尤其是机械真空泵,当其入口压强低于10Pa时,泵的抽速随其入口压强的变化更为显著。图9是某些真空泵的抽速特性曲线示意图。

①分段计算法
在一般情况下,计算变抽速时的抽气时间需要首先知道泵的抽速与其入口压强的关系。如图10所示。假定需要求容器内的压力由P0降低到P的抽气时间,则可以将P0到P这个压强区段分成n段。段效愈多,计算的抽气时间愈接近变抽速的实际。设相应每段的抽气时间为t1,t2…ti…tn取每段的平均抽蘧为s1,S2,…Si…Sn,用相应的公式(36)进行各个压力区段的抽气时间计算,然后求其代数和即得总的抽气时间t。

图10 分段法计算抽气时间方法
②经验系数计算法
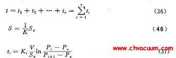
油封机械真空泵的实际抽速S随其入口压强的降低而降低。研究其抽速特性曲线发现,其实际抽速S与其名义抽速Sp的近似关系是(46)。式中系数K在不同压力区间的取值如表2。
因此抽气时间的计算可用式(37)。
应用该式计算抽气时间时,实际上相当于把从大气压到1Pa的抽气时间计算分成为五个区强区段,对应每一个压强区段,根据表2所给出的K值分别计算各压强区段的抽气时间,然后将五个压强区段的抽气时间相加即得从大气压到1Pa的总的抽气时间。















